【初心者向け】インパーマネントロスとは?計算式や対策方法を解説!

いずみこんな悩みを解決できる記事を書きました!
僕は仮想通貨の投資歴5年で100万円以上を運用しています。
「インパーマネントロスについて詳しく知りたい」とお考えではありませんか?
仮想通貨を流動性プールに預けると報酬を得られますが、実は「インパーマネントロス」というリスクが存在します。
インパーマネントロスは価格変動によって資産が目減りする仕組みで、知らずに始めると損をしてしまう可能性があります。



仮想通貨はリスクだらけなので、しっかり知識を身につけた上で投資しましょう。
ということで、本記事ではインパーマネントロスについて分かりやすく解説します。


本記事を読めば、インパーマネントロスについて理解できるので予期せぬ損失を回避できますよ。
| 【当サイト】おすすめ国内取引所3選 | |||
|---|---|---|---|
| 国内取引所 | 評価 | ポイント | 公式サイト |
BITPOINT | 4.5 | 迷ったらココ! 積立が完全無料、ステーキングの利率も◎ | 公式 |
bitbank | 4.3 | アルトコインの取扱数が豊富。 | 公式 |
コインチェック | 4.1 | 4年連続アプリダウンロード数No.1。 | 公式 |
※評価の判断基準については、編集ポリシーの「国内取引所に関する判断基準」を参照。
- キャンペーン情報


- 口座開設完了 + 合計5,000円以上の暗号資産を購入した場合
※開催期間は「2026年4月1日」まで。
※BITPOINTのキャンペーンは「【超お得】BITPOINT(ビットポイント)の紹介コードは?キャンペーン情報も!」を参照。
\ 口座開設&購入で2,500円相当貰える /
本サイトでは、金融庁の「暗号資産交換業者登録一覧」で認可を受けた仮想通貨取引所の利用を推奨しています。また、本サイトの「仮想通貨」は「暗号資産」のことを指します。
仮想通貨に関する注意事項は、金融庁による「暗号資産の利用者のみなさまへ」をご覧ください。
本記事は投資収益の保証、または特定の商品の勧誘や売買の推奨等を目的としたものではありません。最終的な投資や契約の決定はご自身でご判断ください。
インパーマネントロスとは


インパーマネントロス(Impermanent Loss:変動損失)とは、仮想通貨を流動性プールに預けた際に発生する一時的な損失のことです。
価格変動によって預けた通貨の比率が変わり、単純に保有していた場合より資産が減ることがあります。
ただし「一時的」であり、価格が元に戻れば損失も解消されます。



例えば、ETHとUSDTを1:1で流動性プールに預けたとします。
ETHの価格が上がると、プールは自動的に「ETHを売ってUSDTを買う」ようにバランスを取ります。
結果として、手元に残るETHは少なくなり、値上がりの恩恵をフルには受けられず、差額がインパーマネントロスになります。
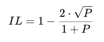
インパーマネントロスの計算式・一覧表


インパーマネントロス(IL)は以下の式で計算します。


代表的な変動率とインパーマネントロスを表にすると↓になります。
| 価格変動率(P) | 例(変動率) | インパーマネントロス |
|---|---|---|
| 1.00x | 変動なし | 0% |
| 1.25x | +25%上昇 | 約0.6% |
| 1.50x | +50%上昇 | 約2.0% |
| 2.00x | 2倍 | 約5.7% |
| 3.00x | 3倍 | 約13.4% |
| 4.00x | 4倍 | 約20.0% |



まあ、こんなの覚えてなくてOKです(笑)
「Impermanent Loss Calculator」という計算サイトがあるので、インパーマネントロスを知りたい場合は使ってみてください。
【必見】インパーマネントロスの対策方法


インパーマネントロスの対策方法は以下のとおりです。
価格変動の小さいペアを選ぶ


インパーマネントロスは、価格が大きく動くほど損失が大きくなる仕組みです。
ですので、ステーブルコイン同士(例:USDTとUSDC)のように価格変動がほとんどないペアを選ぶことで、リスクを最小限に抑えられます。
特に初心者の方は、まず安定したペアから始めることで安心して流動性を提供できます。



簡単に言うと、欲張るなってことです(笑)
流動性マイニング報酬で補う


インパーマネントロスが発生しても、流動性を提供することで得られる報酬が上回れば結果的にプラスになります。
特に取引量の多いプールでは報酬が安定しやすく、損失を補いやすいのが特徴です。
報酬の仕組みを理解し、インパーマネントロスとのバランスを見極めることが大切です。
一時的な預け入れや分散でリスクを減らす


インパーマネントロスは価格変動が続くほど大きくなります。
ですので、長期間預けっぱなしにせず、価格が安定している時期に一時的に流動性を提供するのも効果的です。
さらに、複数のプールに分散して預けることで、一つの通貨ペアに依存せずリスクを抑えることができます。



流動性提供に限らず、仮想通貨では分散が超大切です。
油断してるとマジで事故るので気をつけてくださいね。
【厳選】仮想通貨のおすすめ取引所3選


仮想通貨を始めるには国内取引所の口座開設が必要です。
一つの取引所に絞るとリスクが大きいので、必ず複数の口座を開設して資金を分散させましょう。



今回は、セキュリティ対策が万全で国内ユーザー数の多い取引所をご紹介します。
もちろん、僕もすべて口座開設しています!
※評価の判断基準については、編集ポリシーの「国内取引所に関する判断基準」を参照。
【迷ったらココ!】初めてでも安心「BITPOINT

」
- SBIホールディングスのグループ会社
- 圧倒的な手数料の安さ
- 取扱通貨数は29通貨
- 積立手数料が完全無料、ステーキングも可能
※1 口座開設手順は「【保存版】BITPOINT(ビットポイント)とは?珍しい通貨が豊富!」を参照。
※2 キャンペーン情報は「【超お得】BITPOINT(ビットポイント)の紹介コードは?キャンペーン情報も!」を参照。
SBIホールディングスのグループ会社なので信頼性は抜群です。
各種手数料が無料で、ステーキングも可能なので初心者の人にもおすすめです。
取扱通貨数なら「bitbank」
- アルトコインの取扱数が豊富
- 1円未満から購入できる
- 60種のテクニカル分析を利用できるリアルタイムチャート
※1 口座開設手順は「【手数料安】bitbankとは?アルトコインの購入におすすめ!」を参照。
※2 キャンペーン情報は「【バチクソお得】bitbank(ビットバンク)のキャンペーン情報!紹介コードは?」を参照。
bitbankはアルトコインの取扱数が豊富な取引所です。
1円未満から購入できるので、初心者にもおすすめですよ。
国内ユーザー数No.1「コインチェック

」
- 4年連続アプリダウンロード数No.1(※1)
- 最低500円から購入できる
- マネックスグループ傘下の徹底したセキュリティ体制
※1 国内の暗号資産取引アプリ、期間:2019年〜2022年、データ協力:AppTweak
※2 口座開設手順は「【初心者向け】Coincheckとは?国内ユーザー数No.1!」を参照。
※3 キャンペーン情報は「【バチクソお得】Coincheck(コインチェック)の紹介コードで特典を貰う方法」を参照。
コインチェック
マネックスグループなのでセキュリティ体制も万全ですよ。
よくある質問
インパーマネントロスは必ず損をするのですか?
必ず損をするわけではありません。
価格が元に戻れば損失は解消されますし、取引手数料や報酬で結果的にプラスになることもあります。
インパーマネントロスは短期間でも起こりますか?
価格が動けば短期間でも発生します。
ただし、価格変動が小さいうちは損失もごくわずかで、大きな値動きがあった場合に注意が必要です。
まとめ
今回は、インパーマネントロスについて解説しました。
以下が本記事のまとめになります。
インパーマネントロスをしっかり理解して、できる限り損失を減らしましょう。



最後までお読みいただき、ありがとうございました!
| 【当サイト】おすすめ国内取引所3選 | |||
|---|---|---|---|
| 国内取引所 | 評価 | ポイント | 公式サイト |
BITPOINT | 4.5 | 迷ったらココ! 積立が完全無料、ステーキングの利率も◎ | 公式 |
bitbank | 4.3 | アルトコインの取扱数が豊富。 | 公式 |
コインチェック | 4.1 | 4年連続アプリダウンロード数No.1。 | 公式 |
※評価の判断基準については、編集ポリシーの「国内取引所に関する判断基準」を参照。
- キャンペーン情報


- 口座開設完了 + 合計5,000円以上の暗号資産を購入した場合
※開催期間は「2026年4月1日」まで。
※BITPOINTのキャンペーンは「【超お得】BITPOINT(ビットポイント)の紹介コードは?キャンペーン情報も!」を参照。
\ 口座開設&購入で2,500円相当貰える /
- 仮想通貨一覧
| ティッカーシンボル | 名称 | 評価 | 詳細 |
|---|---|---|---|
| ADA | Cardano(カルダノ) | 4.6 | 詳細 |
| AIMX | Aimedis(アイメディス) | 2.2 | 詳細 |
| AIOZ | AIOZ Network(エイオズ ネットワーク) | 3.4 | 詳細 |
| APE | ApeCoin(エイプコイン) | 3.2 | 詳細 |
| ARB | Arbitrum(アービトラム) | 4.0 | 詳細 |
| ASTR | Astar(アスター) | 3.4 | 詳細 |
| AVAX | Avalanche(アバランチ) | 4.6 | 詳細 |
| AXS | Axie Infinity(アクシーインフィニティ) | 2.6 | 詳細 |
| AZERO | Aleph Zero(アレフ ゼロ) | 2.4 | 詳細 |
| BCH | Bitcoin Cash(ビットコインキャッシュ) | 3.0 | 詳細 |
| BNB | BinanceCoin(バイナンスコイン) | 4.4 | 詳細 |
| BONK | Bonk(ボンク) | 2.8 | 詳細 |
| BTC | Bitcoin(ビットコイン) | 4.8 | 詳細 |
| CHNG | Chainge Finance(チェインジ ファイナンス) | 2.6 | 詳細 |
| CHZ | Chiliz(チリーズ) | 3.2 | 詳細 |
| DOGE | Dogecoin(ドージコイン) | 3.6 | 詳細 |
| DOT | Polkadot(ポルカドット) | 4.6 | 詳細 |
| ETH | Ethereum(イーサリアム) | 4.8 | 詳細 |
| GALA | Gala Games(ガラ ゲームズ) | 3.4 | 詳細 |
| GRT | The Graph(ザ・グラフ) | 4.0 | 詳細 |
| HBAR | Hedera(へデラ) | 4.2 | 詳細 |
| HYPE | Hyperliquid(ハイパーリキッド) | 3.8 | 詳細 |
※「評価」は各記事に詳細を記載しています。













